김천시, 원할한 마스크 공급에 온힘
김천내일신문 기자 / che7844@daum.net 입력 : 2020년 02월 26일
|
 |
|
| ⓒ 김천내일신문 |
| 최근 코로나바이러스 감염증–19가 지역사회 확산으로 예방 필수품인 보건용 마스크가 전국적으로 품귀현상이 일어나자 그 여파로 김천시 관내 약국과 마트 등에서도 재고 소진으로 시민들이 구입에 어려움을 겪고 있다.
김천시에서는 원활한 마스크 공급을 위하여 관내에 있는 마스크 업체를 확인하였으나 OEM방식으로 제작하거나 타 지역에서 제작된 마스크를 유통하는 업체만 있을 뿐 실제 김천 관내에서 제작을 하고 있는 업체는 없는 것으로 파악되었다.
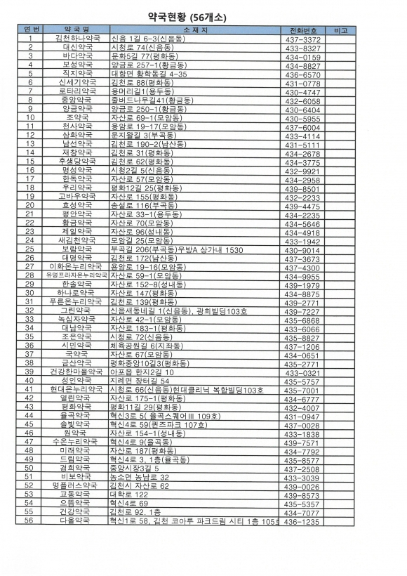
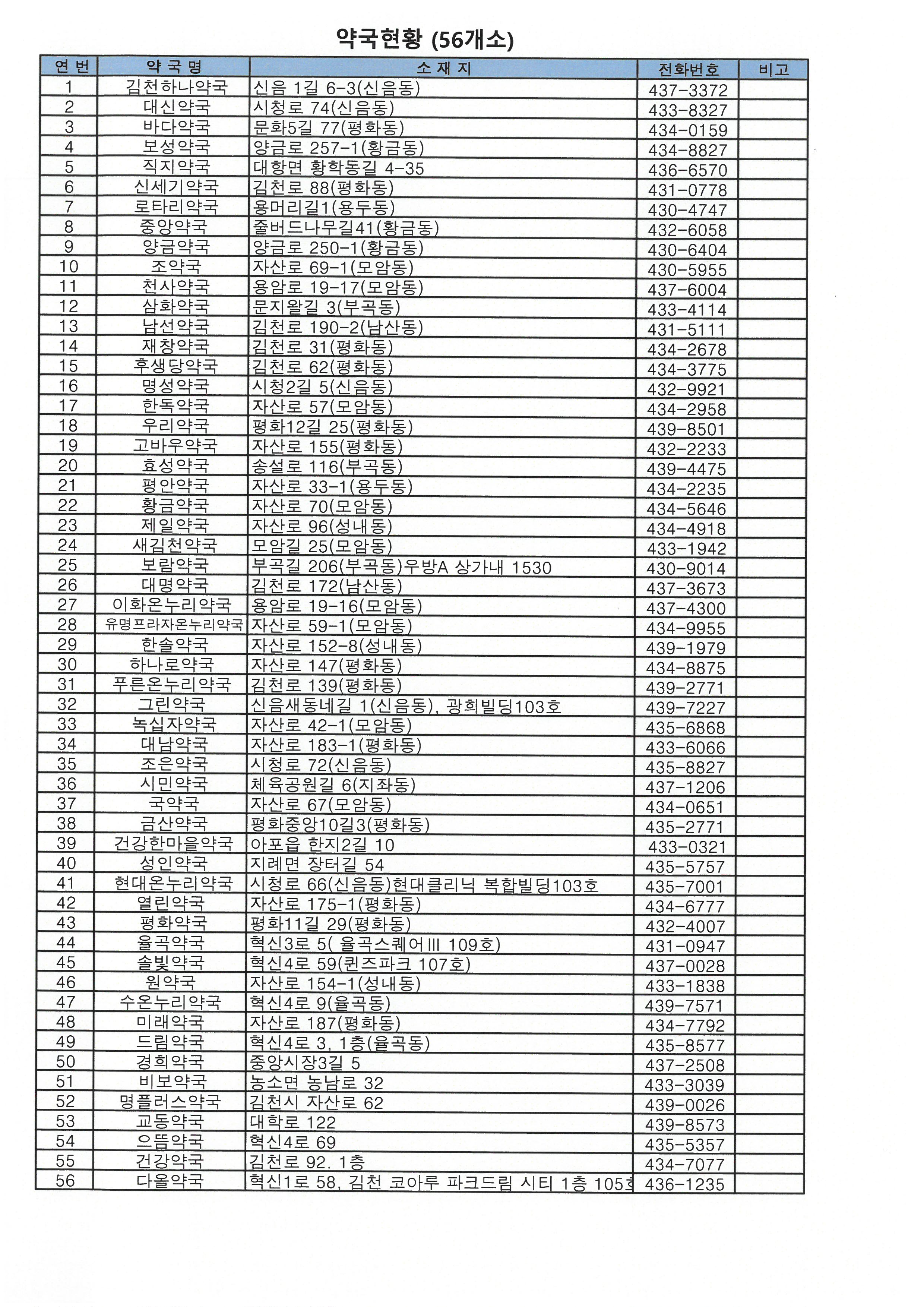
이에 김천시에서는 시민들이 마스크를 쉽게 구입할 수 있도록 관내 유통업체와 OEM방식으로 외부에서 제작하고 있는 업체에 협조를 요청하여 보건용 마스크가 원활히 공급될 수 있도록 최선을 다하고 있다. 김천시 관계자는 “보건용 마스크 공급이 원할 때까지 관내 56개소 약국에 있는 일반 면 마스크를 우선 구입하고 마스크를 착용할 때는 얼굴에 밀착해서 사용토록 권장하였다. 이에 56개소 약국 명단을 공개하였고 약국 방문전에 일반 면 마스크 보유현황을 확인할 것을 당부하였다.”고 밝혔다. |
김천내일신문 기자 / che7844@daum.net  입력 : 2020년 02월 26일
- Copyrights ⓒ김천내일신문. 무단 전재 및 재배포 금지 -
|
|
가장 많이 본 뉴스
기획/특집
|
|
방문자수
|
|
어제 방문자 수 : 65,934 |
|
오늘 방문자 수 : 27,634 |
|
총 방문자 수 : 55,335,410 |
|
상호: 김천내일신문 / 주소: 경상북도 김천시 시청4길 6 / 발행인·편집인 : 최도철,한진희 / 청소년보호책임자 : 최도철 mail: che7844@daum.net / Tel: 054-435-2216 / Fax : 054-435-2219 / 정기간행물 등록번호 : 경북, 아00322/ 등록일 : 2014.6.16 Copyright ⓒ 김천내일신문 All Rights Reserved. 본지는 신문 윤리강령 및 그 실천요강을 준수함
|
|